Zastanawiasz się, ile kosztuje manicure tytanowy i czy cena, którą płacisz w swoim salonie, jest adekwatna? Czy wiesz, że średni koszt tej usługi w Polsce to 167,82 zł, ale rozpiętość cen jest ogromna i sięga od 90 zł do ponad 225 zł za jedną wizytę? To oznacza, że wiele z nas może przepłacać. W tym artykule przeprowadzę Cię przez kompletną analizę kosztów. Odkryjesz, od czego zależy ostateczna cena, porównasz stawki w największych miastach i zobaczysz, jak prosta zmiana nawyków może przynieść Ci oszczędności rzędu 2400 zł rocznie, nie rezygnując z lśniących i trwałych paznokci.
Ile kosztuje manicure tytanowy w profesjonalnym salonie?
Decydując się na wizytę w salonie, oddajesz swoje dłonie w ręce profesjonalistki, co gwarantuje komfort i perfekcyjny efekt. Jednak koszt takiej usługi jest zmienny. Średnia krajowa za podstawową, jednokolorową stylizację oscyluje wokół 155 zł, ale to dopiero początek.
Ceny za poszczególne usługi kształtują się następująco:
- Nowa stylizacja jednokolorowa: od 130 do 180 zł.
- Uzupełnienie paznokci tytanowych: od 100 do 140 zł.
- Przedłużanie paznokci metodą tytanową: od 180 do 250 zł.
- Zmycie poprzedniej stylizacji: od 40 do 65 zł.
- Dodatkowe zdobienia (french, ombre, pyłki): od 10 do 50 zł doliczane do ceny bazowej.
Kluczowa informacja: Najdroższą usługą jest pierwsze przedłużanie paznokci, którego średni koszt to 215 zł. Z kolei najtańsze jest uzupełnienie, kosztujące średnio 120 zł.

Wykresy przedstawiają analizę cen manicure tytanowego, w tym porównanie średnich cen w głównych miastach, zakresy cenowe, koszty poszczególnych usług oraz ogólny rozkład cen w Polsce.
Dlaczego ceny manicure tytanowego tak bardzo się różnią?
Zauważyłaś, że w jednym salonie płacisz 130 zł, a w innym, kilka ulic dalej, cena skacze do 200 zł? To nie przypadek. Na ostateczny koszt wpływa kilka czynników, które razem tworzą cenowy krajobraz tej usługi.
Lokalizacja, prestiż i doświadczenie
Podstawowym czynnikiem jest lokalizacja salonu. W dużych miastach, jak Warszawa czy Kraków, koszty prowadzenia działalności są wyższe, co bezpośrednio przekłada się na ceny usług – mogą być one nawet o 30-40% wyższe niż w mniejszych miejscowościach.
Równie duże znaczenie ma prestiż salonu i doświadczenie stylistki. Renomowane salony, które inwestują w szkolenia i certyfikaty dla swojego personelu, naturalnie cenią swoje usługi wyżej. Wybierając ekspertkę z bogatym portfolio, płacisz za jej umiejętności i pewność, że Twoje paznokcie przejdą prawdziwą metamorfozę.
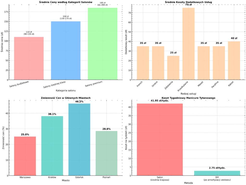
| Kategoria salonu | Zakres cen | Średnia cena | Charakterystyka |
| Salony budżetowe | 90-130 zł | 110 zł | Podstawowe usługi, standardowe produkty. |
| Salony średniej klasy | 130-170 zł | 150 zł | Standardowe usługi, możliwość zdobień. |
| Salony premium | do 200 zł | 185 zł | Luksusowe wnętrza, produkty premium, dodatki. |
Jakość produktów i złożoność stylizacji
Wyobraź sobie ten aksamitny, lśniący pyłek, który tworzy na Twoich paznokciach idealnie gładką taflę. Za ten efekt odpowiadają wysokiej jakości produkty. Marki premium, takie jak SNS, LART czy Cuccio, są droższe, co podnosi cenę zabiegu, ale gwarantuje jego trwałość i bezpieczeństwo dla płytki paznokcia.
Oczywiście, im bardziej skomplikowana stylizacja, tym wyższa cena. Prosty, jednokolorowy manicure będzie najtańszy. Jeśli jednak marzy Ci się subtelny french, efektowne ombre czy ręcznie malowane wzory, przygotuj się na dopłatę od 20 do nawet 50 zł. Dodatkowe usługi, takie jak odżywczy masaż dłoni czy otulająca kąpiel parafinowa, również podniosą ostateczny rachunek.

Wykresy przedstawiają porównanie średnich cen w zależności od kategorii salonu, kosztów dodatkowych usług, zmienności cen w miastach oraz analizę kosztu tygodniowego manicure.
Jak lokalizacja wpływa na to, ile kosztuje manicure tytanowy?
Różnice w cenach między miastami są naprawdę duże. Analiza danych z ponad 300 miast w Polsce pokazuje, że najdrożej jest w Żuronimie (do 211,08 zł), a najtaniej w Ełku, Mrągowie czy Ostródzie (od 144,23 zł). Różnica między najdroższą a najtańszą lokalizacją wynosi ponad 66 zł.
A jak wygląda sytuacja w największych aglomeracjach?
- Kraków: jest najdroższy ze średnią ceną 189 zł.
- Warszawa: plasuje się na drugim miejscu ze średnią 160 zł.
- Poznań: oferuje ceny na poziomie średnio 140 zł.
- Gdańsk: jest najbardziej przystępny cenowo, ze średnią 117 zł.
Wskazówka dla Ciebie: Jeśli mieszkasz w Gdańsku, masz dostęp do jednych z najniższych cen za manicure tytanowy w dużym mieście, zaczynających się już od 90 zł. Z kolei w Krakowie rozpiętość cen jest największa – od 153 zł do nawet 225 zł, więc porównaj kilka salonów przed podjęciem decyzji.
Czy manicure tytanowy w domu jest bardziej opłacalny?
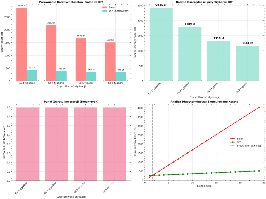
Odpowiedź brzmi: tak, i to zdecydowanie. Wykonanie manicure tytanowego w domu to przemiana nie tylko dla Twoich paznokci, ale i dla portfela. Choć początkowa inwestycja w zestaw startowy może wydawać się spora, zwróci się szybciej, niż myślisz.
Koszt zestawu startowego waha się od 150 do 350 zł. Znajdziesz w nim wszystko, czego potrzebujesz: komplet płynów, kilka kolorowych pudrów i niezbędne akcesoria. Popularne marki, takie jak LART, Kabos czy Cuccio, oferują zestawy w tym przedziale cenowym.
Po jednorazowym zakupie zestawu koszt pojedynczej aplikacji w domu to zaledwie 10-12 zł. Porównaj to ze średnią ceną w salonie (167,82 zł). Oszczędność jest ogromna.
Punkt zwrotu inwestycji: Koszt zestawu startowego zwraca się już po niespełna dwóch wizytach w salonie. To oznacza, że trzeci manicure robisz już praktycznie „za darmo”, a każda kolejna stylizacja to czysta oszczędność.

Wykresy ilustrują porównanie rocznych kosztów i oszczędności między manicure w salonie a DIY, punkt zwrotu inwestycji oraz długoterminową analizę skumulowanych kosztów.
Jeśli wykonujesz manicure regularnie, np. co 3 tygodnie (17 razy w roku), roczne oszczędności mogą sięgnąć ponad 2400 zł. To kwota, która pozwala na zakup nie tylko kolejnych, zmysłowych kolorów pudrów, ale i na inne przyjemności.
Jak wybrać opcję idealną dla siebie?
Wiele z nas staje przed dylematem: komfort i profesjonalizm salonu czy oszczędność i swoboda domowego zacisza? Nie ma jednej odpowiedzi. Wybór zależy od Twojego stylu życia, budżetu i oczekiwań.
Wybierz wizytę w salonie, gdy:
- Cenisz sobie moment relaksu i odprężenia, oddając się w ręce ekspertki.
- Marzysz o skomplikowanej, precyzyjnej stylizacji, której samodzielne wykonanie byłoby trudne.
- Robisz manicure okazjonalnie, na specjalne wyjścia.
- Chcesz mieć absolutną pewność perfekcyjnego rezultatu bez własnego wysiłku.
Rozważ zestaw domowy, gdy:
- Regularnie dbasz o paznokcie i szukasz sposobu na inteligentne oszczędności.
- Jesteś kreatywna, lubisz eksperymentować z kolorami i wzorami.
- Masz chwilę dla siebie i chcesz przekształcić domową pielęgnację w relaksujący rytuał.
- Zależy Ci na pełnej kontroli nad używanymi produktami i higieną narzędzi.
Analiza kosztu tygodniowego noszenia manicure tytanowego jest bezlitosna dla portfela. Przy założeniu 4-tygodniowej trwałości, koszt tygodniowy w salonie to średnio 41,95 zł. W przypadku opcji domowej, po zamortyzowaniu zestawu, koszt ten spada do zaledwie 2,75 zł na tydzień. To ponad 93% oszczędności.
Ile kosztuje manicure tytanowy – podsumowanie
Oto najważniejsze informacje, które pomogą Ci podjąć świadomą decyzję:
- Średnia cena w salonie: wynosi około 168 zł, ale w zależności od miasta i usługi może wahać się od 90 zł do ponad 225 zł.
- Główne czynniki cenowe: to lokalizacja i prestiż salonu, doświadczenie stylistki, jakość użytych produktów oraz złożoność stylizacji.
- Opcja domowa: zestaw startowy kosztuje 150-350 zł, ale inwestycja zwraca się już po dwóch stylizacjach.
- Potencjał oszczędności: wykonując manicure samodzielnie, możesz zaoszczędzić nawet ponad 2400 zł rocznie.
- Różnice regionalne: najtaniej jest w Gdańsku (średnio 117 zł), a najdrożej w Krakowie (średnio 189 zł).
Najczęściej zadawane pytania o to, ile kosztuje manicure tytanowy
Ile trwa manicure tytanowy?
Manicure tytanowy słynie ze swojej trwałości. Prawidłowo wykonana stylizacja utrzymuje się na paznokciach od 3 do nawet 5 tygodni, co czyni go bardzo opłacalną metodą w przeliczeniu na czas noszenia.
Czy zdejmowanie manicure tytanowego jest drogie?
Koszt profesjonalnego usunięcia manicure tytanowego w salonie waha się od 40 do 65 zł. Jest to usługa, na której nie oszczędzaj, ponieważ nieprawidłowe zdejmowanie może uszkodzić naturalną płytkę paznokcia. To, ile kosztuje manicure tytanowy będzie zależeć od kilku czynników, m. in. lokalizacji, renomy salonu czy dodatkowych ustawień.
Co wchodzi w skład zestawu startowego do manicure tytanowego?
Typowy zestaw startowy zawiera wszystkie niezbędne preparaty w płynie (baza, aktywator, top), co najmniej jeden lub kilka kolorowych pudrów tytanowych oraz podstawowe akcesoria, takie jak pilniki, bloczki polerskie i pędzelki do omiatania nadmiaru produktu.
Czy przedłużanie paznokci metodą tytanową jest droższe?
Tak, przedłużanie paznokci jest jedną z najdroższych usług w cenniku manicure tytanowego. Średnio kosztuje około 215 zł, co oznacza dopłatę od 50 do 100 zł w stosunku do standardowej stylizacji na naturalnej płytce.
Czy jakość produktów ma duży wpływ na cenę?
Zdecydowanie tak. Salony używające produktów renomowanych marek, takich jak SNS, LART czy Cuccio, mają wyższe ceny, ale oferują w zamian lepszą trwałość, głębię koloru i większe bezpieczeństwo dla paznokci.